SCSB# 395

Flow and Transport Processes
G.V. Wilson1, H.M. Selim2, and J.H. Dane3
1Desert Research Institute Las Vegas, 2Louisiana State University, and 3Auburn University

Chapter Outline


Introduction
Soil texture (i.e., the relative proportions of the various soil separates), and soil structure (i.e., the arrangement of primary soil particles into aggregates), are the predominant factors controlling the hydraulic and chemical properties of soils and consequently the flow of water and transport of chemicals. In addition, biological features, such as root and animal channels, and soil management practices play an important role in affecting soil hydraulic properties. Soils of the southeastern United States vary in texture and structure. Some Coastal Plain soils, such as the Lakeland, consist predominately of sand and have negligible structure, whereas loessial soils, such as the Memphis, generally consist predominately of silt or silt loams with very little soil structural development near the surface. Although slightly different, both soil types are thought to have single-region flow and transport. Other soils in the southeastern United States, such as the Sharkey, have a high clay content and, therefore, exhibit significant soil structural features resulting in two-region flow and transport (Ma and Selim, 1994, 1995) . Both structureless and structured soils may exhibit unstable (fingering; Kung, 1990; Glass and Steenhuis, 1984) and/or preferential flow through biological channels (Edwards et al., 1988). In both cases, application of the flow and transport equations, valid for single-region flow and transport, may lead to erroneous conclusions. This chapter gives a general description of the flow of water and transport of dissolved chemicals and the soil properties that should be considered in estimating these processes. The chapter finishes with a brief discussion of some aspects of multi-phase flow and transport.


Single-Region Flow and Transport
Traditionally, water flow has been assumed to be uniform through relatively homogeneous layers of the soil profile. Darcy’s law, presented in 1856, describes flow of water through a homogeneous, saturated soil. It was later extended to non-steady state, unsaturated flow as:

                (1)

where q is the flux density (LT-1), i.e., the volume of water Q (L3) passing through a cross sectional area A (L2) per unit time t (T). The hydraulic head H (L) is the sum of the gravitational head z (L) and pressure head h (L). The latter attains positive values below and negative values above the water table. The hydraulic conductivity K (LT-1) represents the ability of a soil to conduct water and is considered to be a constant under saturated conditions. Under unsaturated conditions, the hydraulic conductivity is a function of h. The rate at which water is being conducted through the soil is the product of the hydraulic conductivity and the hydraulic head gradient H/ z (driving force). The negative sign indicates that the flow of water takes place in the direction of decreasing H. It should be noted that the flux density q is averaged over a cross sectional area of soil and does not represent the velocity at which water moves through the pores. The latter is represented by the average pore water velocity v (LT-1), which equals the flux density q divided by the water filled porosity contributing to flow. This is typically taken as q/q (q is volumetric water content), which assumes that all water is mobile. Flow through the vadose zone, i.e., the unsaturated zone from the soil surface to the water table, is rarely steady state under natural conditions. To fully describe water flow under transient conditions, Darcy’s law must be combined with the continuity equation

        (2)

where Ñ q is the divergence of the flux, i.e., the difference between inflow and outflow at a given plane. The left hand side of this equation can be written as

        (3)

where C(q ), the slope of the water retention curve, is referred to as the specific water capacity. Combining the continuity equation with the Darcy equation, results in the Richards equation for one-dimensional, unsaturated, non-steady state flow of water in the vertical direction

        (4)

One-dimensional transport of a nonreactive solute through a homogeneous soil layer can be described by combining the flux density equation

        (5)

with the continuity equation

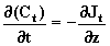
      (6)

which yields the convective-dispersive equation (CDE)

       (7)

where Js is the total solute mass flux (ML-2T-1), JD (ML-2T-1) is the diffusive-dispersive mass flux, C is the concentration (ML-3), D (L2T-1) is the effective diffusion-dispersion coefficient expressed as

        (8)

where Ddif (L2T-1) is the molecular diffusion coefficient, Ddis (L2T-1) is the hydrodynamic dispersion coefficient, and all other variables have been defined before. Hydrodynamic dispersion is the mixing or spreading of the solute during transport due to differences in velocities within a pore and between pores. During steady-state flow in a homogeneous porous medium with uniform water content, Eq. (7) can be simplified to

        (9)

To describe transport of reactive solutes, i.e., solutes that are sorbed by the soil, a term representing the amount of solute sorbed, S (MM-1), needs to be included in Eq. (9). For a representative elementary volume (REV) of soil, the total amount of a given chemical species c (ML-3) is represented by the sum of the amount retained by the soil matrix and that present in the soil solution, i.e.,
 

       (10a)

As a result, the CDE now becomes
 

       (10b)

Further rearrangements yield
 

       (10c)

where Q (ML-3T-1) is a source-sink term, and R, the retardation coefficient, is defined as
 

       (11)

where r b is the bulk density (ML-3). A key ingredient to the solution of Eq. (10), or and any other reactive-solute transport equation, is the relationship between the amount of chemical in solution (C; ML-3) and the amount sorbed by the solid phase (S; MM-1). This relationship is referred to as an adsorption isotherm. Sorption is promoted by charged clay minerals, hydrous oxide coatings on surfaces, and organic matter functional groups with variable charges. Additionally, some solutes may co-precipitate, volatilize, or degrade.

Over the last thirty years, several models describing the retention behavior of various chemical species in the soil have been developed (Selim, 1992). Table 1 provides a listing of commonly used equilibrium and kinetic retention approaches. A disadvantage of several of such empirical approaches lies in the basic assumption of local equilibrium of the governing reactions. Alternatives to equilibrium-based approaches are the multisite or multireaction models which deal with the multiple interactions of one solute species in the soil environment. Multiple interaction approaches assume that a fraction of the total sites is time dependent, i.e., they are kinetic in nature, whereas the remaining fraction interacts rapidly or instantaneously with the chemical present in the soil solution. Linear or nonlinear equilibrium (Freundlich) and first- or n-th order kinetic reactions are the associated processes (Selim, 1992). Based on the multireaction approach, adsorption may be regarded simply as consisting of three types of sites, i.e.,

       (12)

where Se refers to sorption governed by instantaneous equilibrium reactions (type 1 sites), Sk refers to sorption governed by hysteretic kinetic reactions (type 2 sites), and Sir refers to sorption subjected to irreversible retention (type 3 sites). The instantaneous equilibrium reaction between the amount of chemical in solution and that sorbed by the solid phase is generally represented by one of the following three adsorption isotherms:

1. The simplest chemical reaction model is the linear adsorption equation
 
 

       (13)

where Kd (L3M-1) is referred to as the distribution coefficient (slope of the adsorption isotherm).

2. Equation (13) is a special case of the Freundlich equation
 

       (14)

where Kf is the Freundlich distribution coefficient (L3M-1)N and N is a fitting parameter.

3. The Langmuir adsorption equation
 
 

       (15)

where a and b are curve fitting parameters.

Incorporation of any of these isotherms into the retardation factor requires that S be differentiated with respect to C.

Reactive solute transport must also consider chemical non-equilibrium., which occurs when the adsorption process is kinetic, i.e., it is not instantaneous but rate dependent. This may include reversible as well as irreversible adsorption. The latter includes, e.g., internal diffusion into clay minerals (Amacher et al., 1988), which may be expressed as a first-order kinetic process by

       (16)

where kir is the rate coefficient (T-1) for irreversible adsorption. The hysteretic kinetic reversible reaction between the solution and solid phases for Type 2 sites can be represented by

       (17)

where k1 and k2 are the forward and backward rate coefficient (T-1), respectively, and n is the reaction order associated with Sk.

Important aspects to consider in the solution of transport equations are the different types of concentrations that can be considered and the application of the appropriate initial and boundary conditions (van Genuchten and Parker, 1984; Parker and van Genuchten, 1984a). Parker and van Genuchten (1984a) discussed the importance of distinguishing between a volume-averaged (C) and a flux-averaged (Cf) concentration in conjunction with the way an experiment is performed and the results are analyzed (Parker and van Genuchten, 1984b).


Two-Region Flow and Transport
It is common to observe greater dispersion of solutes during transport through undisturbed soils than in packed, homogeneous soil columns. This is typically attributed to soil structural (inter-aggregate pores) pores and biological channels resulting in water flowing more rapidly in these large pores than in the soil matrix (inter-aggregate pores). The velocity through the preferential flow paths may be so much higher than through the soil matrix that the water in the matrix is considered stagnant or immobile. For soils of this type, a two-region flow model is warranted, in which water is partitioned into a mobile and an immobile flow region. In such a model q m is the water content of the mobile region (inter-aggregate pores) through which transport occurs by the CDE (Eq. 7), and q im is the water content of the immobile region (intra-aggregate pores) through which solute is transported by diffusion. Solute transfer between mobile and immobile regions is only by diffusion due to physical nonequilibrium (concentration gradients). The one-dimensional CDE for two-region flow and transport is
 

       (18)

where Dm (L2T-1) is the hydrodynamic dispersion coefficient of the mobile region, Sim ( MM-1) and Sm ( MM-1) are the sorbed amounts in the immobile and mobile regions, respectively. We further define

       (19)

 
       (20)
       (21)

where ST ( MM-1) is the total amount sorbed and fm is the fraction of adsorbed solutes in contact with the mobile region, i.e., fm = q m/q. The equation for diffusive transfer between the two regions is

       (22)

where a is the mass transfer coefficient (T-1) between the mobile and immobile region, and Qm and Qim represent the irreversible retention of solute in the mobile and immobile region, respectively. For single-region flow and transport with local equilibrium fm = 1 and a = 0. Independent determinations of fm and a can be obtained from knowledge of the volume of water drained at a pressure head value sufficiently negative to drain the mobile pore water. Since qm equals the water drained per total soil volume, fm = qm/q, where q is the initial (saturated) water content. Using meters for length and days for time, the mobile region dispersion coefficient, Dm, can be estimated from

       (23)

where 0.0005 m2/d is the diffusion contribution, lm is the mobile dispersivity, which is equal to the average diameter of the aggregates, and vm = q/qm is the pore water velocity of the mobile region. The mass transfer coefficient, a , can be estimated from
 
 

       (24)

Independent estimates of Dm and a are necessary because these parameters are auto-correlated.


Multi-Region Flow and Transport
Luxmoore (1981) proposed that soils consists of a continuous distribution of pore sizes which may be separated into pore size classes of macro-, meso-, and micropores analogously to particle size distribution. It is common for dye staining patterns to reveal preferential flow through a secondary pore region. The pores of this region are too small to be considered macropores and are morphologically not distinguishable from the soil matrix which contains the immobile water (Omoti and Wild, 1979; Hornberger et al., 1991; Seyfreid and Rao, 1987; Germann and Beven, 1981). The pores in the secondary pore region are called mesopores in Luxmoore’s scheme (1981). Jury and Fluhler (1992) concurred by stating that "substantial water flow may occur in the surrounding matrix as well as in the preferential flow region." They further stated that "solutes partition into a rapid or preferential flow region and a slower, but still mobile matrix flow region, each of which may embody a small but significant degree of water flow." They concluded that "the model is unsatisfactory for representing media wherein transport occurs both in preferential flow regions and in the bulk matrix." If a secondary pore class significantly contributes to flow and transport, a multi-region model may be needed. Jardine et al. (1990) conducted field-scale transient flow tracer experiments on a 2 m x 2m x 3 m deep, in situ soil block in Eastern Tennessee. They reasoned that hydraulic (hydraulic head gradients) and physical (solute concentration gradients) nonequilibrium between pore classes near the soil surface, shortly after tracer application, caused convective and diffusive transfer, respectively, from the solute rich mesopores into the macropores. They observed significant movement through the mesopores, which was more continuous than transport through the macropores. The latter responded to storm events much like discrete flow pulses.

A generic description of multi-region media is one in which soils are highly structured such that macropores occur as voids between macroaggregates (peds), which themselves are highly permeable due to smaller voids between microaggregates. Radulovich et al. (1992) called these inner-macroaggregate voids, interpedal pores. Under the multi-region flow concepts developed by researchers at the Oak Ridge National Laboratory (Wilson, Jardine, Gwo, and Luxmoore), preferential flow includes the secondary pore size class containing mesopores. These pores are capable of high flow for extended periods following drainage events. Flow and transport through each region were described by the Richards and convective-dispersive equation, respectively.

A key mechanism in solute transport through multi-region media under transient flow conditions is the mass transfer among regions. It has often been thought that only diffusion is responsible for mass transfer between regions. Once macropore flow is initiated, the unsaturated macroaggregates (mesopores and micropores) at subsequent depths are by-passed due to the high velocity in the macropore region. This variably-saturated preferential flow scenario explicitly means that hydraulic nonequilibrium exists, i.e., hydraulic gradients exist between flow regions. Thus, convective transfer of solutes between regions must be incorporated with the diffusive transfer due to physical nonequilibrium, i.e., concentration gradients between regions. The mathematical development and application of these multi-region flow and transport processes can be found in Gwo et al. (1995).


Application and Parameterization
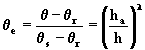
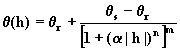
To solve the Richards equation (Eq. 4), the hydraulic conductivity function, K(h), and the water retention function, q (h), must be known in continuous form. Experimental and numerical techniques for determining these hydraulic functions can be found in Klute (1986). The water retention function or water characteristic curve is a fundamental soil property that reflects the pore-size distribution of the soil. Whereas the wet end predominately reflects soil structure, the dry end is more a reflection of soil texture and mineralogy. Water retention functions are empirical relationships determined by fitting mathematical expressions through experimentally determined data points using least-squares fitting techniques. To be properly applied, such expressions require measured values over the entire h range of the application. The two most common expressions in use today are the Brooks-Corey (1964) and van Genuchten (1980) models. The Brooks-Corey (1964) model is:

       (25)

where q r is the residual volumetric water content, q s is the saturated volumetric water content, ha is the air-entry value, and l is considered a pore-size distribution index. One of the strengths of the Brooks-Corey expression is that no air will displace water as long as the pressure head value is greater than the air entry value. The same expression applies if two liquids are present in a porous medium. Equation (25) then states that the nonwetting liquid will not displace the wetting liquid unless the displacement or entry pressure head value has been reached. Van Genuchten (1980) developed the following model:

       (26)

where a and n are curve fitting parameters. The disadvantage of this model is that it predicts drainage even at h values close to zero, which implies displacement by some other fluid (either air or another liquid) and an associated hydraulic conductivity value. This has important consequences for the prediction of contamination by, e.g., organic liquids.

Similarly to water retention curves, empirical equations exist for K(h) (Klute, 1986). One of the most commonly used expressions used in unsaturated flow problems is the Gardner (1958) equation:

       (27)

where b is a curve fitting parameter and Ks is the saturated hydraulic conductivity, both of which vary from soil to soil. Equation (27) should only be used for that portion of the curve where measurement points exist.

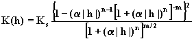
Physically-based K(h) models require knowledge of a soil property that is related by some physical law or numerical expression to the ability of the soil to conduct water. According to Poiseuille’s law, the flux density through a tube is directly related to the radius of the tube to the power 4. The hydraulic conductivity should, therefore, be related to the pore-size distribution. Given that the shape of the water retention function reflects the pore-size distribution, the shape parameters for q (h) can be used to predict K(h). The proposed Brooks-Corey (1964) equation is

       (28)

where

       (29)

Thus

       (30)

Another frequently used model was presented by van Genuchten (1980), viz.,
 
 

       (31)

where m is assumed to equal to 1 - 1/n. The parameters a, n, and m are determined from the q (h) parameterization.

One of the problems with predicting K(h) from water retention data is that q (h) is typically derived from laboratory core samples which deviate from field situations. Laboratory samples generally exhibit higher water contents at the wet end than field measurements at the same pressure head (Cassel, 1985) due to more entrapped air in the field. Additionally, laboratory measurements of retention are rarely measured to the field residual water content. Kunze et al. (1968) documented how the accuracy of the K(h) function depends upon having a complete q (h) function.

It should be noted that the hydraulic relationships are highly site specific and spatially variable. Data for these hydraulic properties for some of the important soils of the southeastern United States can be found in Cassel (1985), Dane et al. (1983), and Romkens et al. (1985, 1986). Because of the difficulty in directly measuring these functions for field conditions, attempts have been made to derive these functions from knowledge of other, more easily determined soil properties using pedotransfer functions (Puckett et al., 1985), fractal theory approaches (Rieu and Sposito, 1991; Hatano and Booltink, 1992), and inverse procedures (Dane and Hruska, 1983; Zijlstra and Dane, 1995). As yet, there is no consensus on how to best obtain these functions. The existence of two- or multi-region flow requires that the K(h) and q (h) functions be determined for each flow region. Additionally, mass transfer coefficients between the regions need to be determined. Various methods (Smettem et al., 1991; Jarvis et al., 1991; Wilson et al., 1992; Mohanty et al., 1997) have been proposed to describe the hydraulic functions for either one-, two-, or multi-region soils. Diffusive mass transfer between regions can be obtained by the flow interruption miscible displacement technique (Reedy et al., 1996), while Gwo et al. (1996) estimated the convective transfer coefficients from measurements of fracture spacing. The adequacy of such estimates is, however, completely speculative.

Although a wealth of data is available in the literature on solute transport parameters, the authors know of no document that assimilates this information for soils in the southeastern United States in a manner similar to the assimilation of the soil hydraulic properties. Methods for experimental determination of the instantaneous and single-site kinetic adsorption coefficients may be found in (Van Genuchten and Wierenga, 1986; Leij and Dane, 1989a,b). However, the difficulty remains in being able to separate the contributions of the various type sites. Considerable less information is available for multi-reaction adsorption coefficients (Wilson et al., 1998).


Land use Effects on Flow and Transport
In addition to the complexities of determining the pertinent flow and transport properties for the various soils of the southeastern United States, these properties often vary with time as they are strongly effected by land use and soil management practices. A good example is the effect of no-tillage (NT), compared to conventional tillage (CT), on the flow of water and transport of chemicals through macropores. Because the soil remains mostly undisturbed under NT, macropore (cracks between aggregates and biological pores) formation and organic matter accumulation at the surface are enhanced. The effect of soil management practices on macroporosity and organic matter has important impacts that must be considered. For example, NT usually increases the hydraulic conductivity due to macropore development, decreases reactivity of dissolved chemicals in macropores due to their low pore-surface area and short residence time, and increases the reactivity of chemicals in the soil matrix due to the increase in organic matter. Consequently, NT can shift a soil from behaving as a single-region, one-site reactivity soil, to a multi-region, multi-reaction site soil. Failure to recognize this shift can result in improper characterization of the flow and transport parameters. For example, increases in organic matter provide kinetic adsorption sites for some solutes which, if ignored, would be inappropriately lumped into the instantaneous equilibrium adsorption terms.

Failure to fully understand the impact of soil management on flow and transport properties has led to much confusion of the significance of tillage on, and how to sample for, water quality. Research by Thomas and Phillips (1979) in Kentucky demonstrated greater nitrate leaching with NT than with CT. They concluded that NT increased the preferential leaching of nitrate through macropores. However, Kanwar et al. (1991) concluded that increased macroporosity under NT results in decreased nitrogen leaching if the nitrogen source was located within the soil micropores. They proposed that macropores facilitate the bypassing of water-filled micropores, thereby reducing nitrate leaching relative to displacement of the nitrogen rich micropore water. This is a good example of the importance of mass transfer between regions as a result of physical and hydraulic nonequilibrium in response to preferential flow. Yet failure to recognize the shift in flow and transport processes can lead to inaccurate assessment of the impact of NT on water quality. Essington et al. (1995) documented the importance of this for pesticide movement in long-term tillage plots. Depth incremented soil sampling in a NT soil revealed that the pesticide had not moved below 60-cm depth. Traditional pesticide degradation analysis would have assumed that all loss of mass (pesticide not accounted for) was due to degradation. However, tension-free pan lysimeters at the 90-cm depth, which collected drainage water through preferential flow paths, revealed that as much as 50% of the applied pesticide had leached out of the root zone and was, therefore, not detected by soil sampling. Failure to account for the shift in flow and transport processes in the sampling methods would have resulted in the inaccurate conclusion that this pesticide had limited mobility due to high degradation rates, when in fact the opposite was true. Another important finding by Essington et al. (1995) was that between 68 and 100% of the pesticide transport occurred during the first two storm events following application. They concluded, as have Shipitalo et al. (1990), that rainfall timing relative to application is a key factor to pesticide mobility. Thus, while characterizing a soil’s chemical and hydraulic properties is important, the timing and intensity of rainfall events following chemical (fertilizer, pesticides, etc.) applications play a significant role due to their control of the hydrological processes. A light rainfall following chemical applications may not be sufficient to initiate macropore flow. Consequently, infiltration into micropores occurs and the soil behaves as a single-region flow system. The result is that much of the chemical becomes slowly mobile to immobile in the micropores. Subsequent heavy rainfalls, which result in macropore flow, cause the soil to then behave as a two-region flow system. The preferential flow region may either enhance or reduce chemical leaching, depending upon the degree of mass transfer between the chemical rich micropores of the soil matrix and the preferential flow paths.


Multi-Phase Transport
A logical extension of the previously discussed flow and transport is the study of transport of immiscible fluids. Multi-phase transport usually involves the gas phase and one or more liquid phases. There is a need to study these processes in order to predict the movement of (volatile) substances such as pesticides, oil products, and other (organic) compounds.

Jury et al. (1980) determined the loss of pesticide via volatilization and diffusion in the vapor phase and via advection and diffusion in the liquid phase. Their investigation involved the movement of triallate in soil samples at different values of the relative humidity. The total concentration of the solute in the soil was given by

       (32)

where Ct is the total concentration expressed as mass of solute per volume of soil (ML-3), S is the adsorbed concentration expressed as mass of solute per mass of soil (MM-1), C and Cg are the concentrations in mass of solute per volume of liquid and gas phase (ML-3), respectively, and q and qg are the liquid and gas content, respectively, expressed as volume of fluid per volume of soil (L3 L-3). The solute flux was expressed as

       (33)

where Jt is the total solute flux, Dg is the gas diffusion coefficient (L2T-1), Ddif is the liquid diffusion coefficient (L2T-1), and all other variables have been defined before. It should be noted that advective transport in the vapor phase was considered to be negligible. Equation (33) differs, therefore, only from Eq. (5) by the gas diffusion term. Under some circumstances, such as non-isothermal flow, this might not be justified. The continuity equation for one-dimensional transport in the absence of a source/sink term is

       (34)

Substitution of Eq. (32) and (33) into Eq. (34) results in the equation that describes the total mass transport. To solve the resulting equation, it should contain only one dependent variable, viz., a concentration in a particular phase. The following relationships are useful for this purpose:

Gas and liquid concentration are related by Henry’s law
       (35)
where KH (-) is the partition coefficient. Equation (35) is only valid for dilute solutions. A linear adsorption isotherm in the form of
       (36)

Jury et al. (1980) made some additional assumptions to rewrite Eq. (34) in terms of Cg
 

       (37)

where e = r bKdKH-1 + q KH + qg, De = q gDg + KH-1q Ddif and ve = qKH-1. For appropriate boundary and initial conditions, Eq. (37) can be solved analytically for Cg. Of course, due to hysteresis and non-equilibrium, Eq. (35) and (36) might not be representative. This would subsequently influence the accuracy of the solutions of Eq. (37).

Jury et al. (1980) considered two cases, viz., transport by diffusion only (q = 0) and transport by advection-diffusion (q ¹ 0), which obviously led to different solutions for Cg. An expression for the solute flux at the surface, Jt(0,t), was found by using Eq. (33), in conjunction with the solution for Cg and Eq. (7). The cumulative loss was then obtained via integration of the flux over time. The experimentally measured cumulative loss was used to determine the effective diffusion coefficient, De. Knowledge of this De enables one to make theoretical predictions of the mass flow. It was shown that advection (evaporation) caused the vapor loss to increase slightly. Loss of the pesticide was mainly due to depletion from the upper soil layer. Because of the increase in the concentration gradient, diffusion becomes more important close to the soil surface.

As pointed out earlier, multi-phase transport usually involves the gas phase and one or more liquid phases. Thus far we concentrated our discussion on the movement of a chemical which occurred in two immiscible fluids, viz., water and the gas phase. Flow and transport processes become even more complicated when we deal with the simultaneous movement of two immiscible liquids, with or without the presence of a gas phase, as it occurs during spills of nonaqueous phase liquids (NAPLs). NAPLs which are denser than water are known as dense NAPLs (DNAPLs) and NAPLs which are lighter than water are known as light NAPLs (LNAPLs) (Mercer and Cohen, 1990; Schwille, 1988). DNAPLs include solvents such as trichloroethylene (TCE; specific gravity = 1.46) and tetrachloroethylene or perchloroethylene (PCE; specific gravity = 1.63). LNAPLs include petroleum products such as gasoline (specific gravity = 0.73) and toluene (specific gravity = 0.87) (Hunt et al., 1988a; Mercer and Cohen, 1990). Although NAPLs are essentially immiscible with water, they are slightly soluble or contain components which are soluble in water. Consequently, large volumes of groundwater may become contaminated by dissolved NAPLs or their dissolved components if NAPLs enter the subsurface through leaks in underground storage tanks or through spills at the ground surface (Freeze and Cherry, 1979; Fetter, 1988; Pinder and Abriola, 1986; Schwille 1988). NAPL components may also occur in gaseous form mixed with air in the unsaturated zone due to the volatility of many NAPL components (Schwille, 1988; Abriola, 1988).

A major source of NAPLs in the subsurface is leakage from underground storage tanks used by many industries to store petroleum and chemical products (Tyler et al., 1987; Mercer and Cohen, 1990). Other sources or waste-producing processes involving NAPLs include coal tars disposed of in pits, ponds or landfills at gas production sites, steel industry coking operations and wood treating operations (see, e.g., Villaume, 1985; Moore, 1989).

The main reason for distinguishing between LNAPLs and DNAPLs is that a LNAPL plume tends to "float" in the vicinity of the groundwater table whereas a DNAPL plume tends to "sink" into the aquifer (Schwille, 1984; Mackay et al., 1985). While LNAPLs and DNAPLs behave quite differently near the capillary fringe and below the groundwater table, their general behavior in the unsaturated zone is quite similar. Both types of NAPLs generally migrate downward in the unsaturated zone under the actions of gravity and capillarity (surface tension effects), and may even spread out over lenses of low-hydraulic-conductivity materials. As the spill progresses downward through the unsaturated zone, some residual NAPL is retained around the soil grains and trapped in the pore spaces due to surface tension effects. If a sufficiently large quantity of NAPL enters the subsurface, it will eventually reach the capillary fringe. In case of a LNAPL, the liquid will accumulate at the water table, while in case of a DNAPL, the spilled liquid will penetrate the water table, if its pressure exceeds the required displacement pressure, and accumulate over less permeable lenses or layers or at the bottom of the aquifer (Schwille, 1984). In either case, a certain amount of NAPL will be immobilized in the unsaturated and saturated zones as residual NAPL. The residual NAPL will then act as a source of subsurface contamination due to the dissolution of the residual NAPL into the flowing groundwater or into the recharge water infiltrating at the surface. The mobile (free-phase) NAPL, which accumulates on the water table or over layers or lenses of low permeability material, will also act as a source of groundwater contamination due to dissolution of the NAPL (Schwille, 1984, 1988; Hunt et al., 1988a; Feenstra and Cherry, 1988; Mercer and Cohen, 1990). Unless the NAPL is removed from the subsurface, it may act as a source of contamination for many years (Mercer and Cohen, 1990). It may be useful to note that, while the mobile (free-phase) NAPLs may be pumped out of an aquifer by means of wells, the immobile residual NAPLs can only be removed by special means such as steam injection or surfactant-aided mobilization (Hunt et al., 1988b; Mercer and Cohen, 1990; Ang and Abdul, 1991).

Schwille (1984) and Hunt et al. (1988a) pointed out that the spatial distribution of a LNAPL plume will be greatly affected by the fluctuations of the water table. The distribution of the LNAPL in turn affects its rate of dissolution and the behavior of the resulting dissolved contaminant plume (Fried et al., 1979; Pfankuch, 1984; Schwille, 1984). The spatial variations of the aquifer material properties also play an important role in the behavior of both LNAPL and DNAPL plumes (Schwille, 1984, 1988; Osborne and Sykes, 1986; Feenstra and Cherry, 1988; Faust et al., 1989; Mercer and Cohen, 1990; Oostrom et al., 1997; Hofstee et al., 1998).

As with the movement of a single liquid, usually water, the simultaneous movement of two liquids is described by Darcy type equations and corresponding continuity equations, which requires knowledge of retention and permeability relations. The penetration of a NAPL into water saturated porous media, either at the surface or at layers in the subsurface, is extremely sensitive to the values of the displacement pressure. Hence, when predicting NAPL behavior in soils and aquifers, the Brooks-Corey representations of the hydraulic properties are to be preferred over those of van Genuchten (Oostrom et al., 1997). Predictive models for the constitutive relations in multifluid flow systems have been proposed based on retention curves of water-air systems and values of the interfacial tensions (Lenhard and Parker, 1987a,b). Measurement techniques to directly measure the retention properties were developed by Lenhard and Parker (1988), Lenhard (1992), and Hofstee et al. (1997). But it was not until very recently that a technique was developed to directly measure the permeability of a NAPL at different saturations in the presence of water (Dane et al., 1998).


Summary
Researchers in the southeastern United States have significantly contributed to the increased capabilities of numerically modeling solute transport during the past decade through the development of multi-region and multi-reaction site transport models. However, practical use of such approaches is still highly speculative and must be used with caution. The limiting factor to the proper prediction of flow and transport is typically considered to be the lack of or uncertainty in parameter values. While this report seeks to alleviate that problem to some degree, we hope that this bulletin will caution users to the fact that false information may be generated by using inappropriate physical or chemical models. One may have access to excellent data to determine the model parameters, but if the model is not based on the appropriate flow regime and sorption type, then the results will be of limited value and may even be erroneous. This bulletin points out the different processes associated with different kinds of soils. One should also keep in mind that these processes are temporally variant due to the land use practices.


Literature Cited
Abriola, L.M. 1988. Multiphase flow and transport models for organic chemicals: A review and assessment. EPRI EA-5976, Project 2377-5, Final Report. Electric Power Research Institute, Palo Alto, California.

Amacher, M.C., H.M. Selim, and I.K. Iskander. 1988. Kinetics of chromium (VI) and cadmium retention in soils: A nonlinear multi reaction model. Soil Sci. Soc. Am. J. 52:398-403.

Ang, C.C., and A.S. Abdul, 1991. Aqueous surfactant washing of residual oil contamination from sandy soil. Ground Water Monitoring Review, Spring 1991, pp. 121-127.

Brooks, R.H., and A.T. Corey. 1964. Hydraulic properties of porous media. Hydrology Paper 3, Colorado State Univ., Fort Collins, CO.

Cassel, D.K.. 1985. Physical characteristics of soils in the Southern Region: Summary of in situ unsaturated hydraulic conductivity. Southern Cooperative Series Bulletin No. 303. N. Carolina State Univ., Raleigh, NC.

Dane, J.H., D.K. Cassel, J.M. Davidson, W.L. Pollans, and V.L. Quisenberry. 1983. Physical characteristics of soils in the Southern Region: Troup and Lakeland Series. Southern Cooperative Series Bulletin No. 262. Alabama Agric. Exp. Sta., Auburn University.

Dane, J.H. and S. Hruska. 1983. In situ determination of soil hydraulic properties during drainage. Soil Sci. Soc. Am. J. 47:619-624.

Dane, J.H., C. Hofstee, and A.T. Corey. 1998. Simultaneous measurement of capillary pressure, saturation, and permeability of immiscible liquids in porous media. Water Resour. Res. In review

Edwards, W.M., M.J. Shipitalo, and L.D. Norton. 1988. Contribution of macroporosity to infiltration into continuous corn no-tilled watershed: Implications for contaminant movement. J. Contam. Hydrol. 3:193-205.

Essington, M.E., D.D. Tyler, and G.V. Wilson. 1995. Fluometuron behavior in long-term tillage plots. Soil Sci. 160:405-414.

Faust, C.R., J.H. Guswa, and J.W. Mercer. 1989. Simulation of three-dimensional flow of immiscible fluids within and below the unsaturated zone. Water Resour. Res. 25:2449-2464.

Feenstra S., and J.A. Cherry. 1988. Subsurface contamination by dense non-aqueous phase liquid (DNAPL) chemicals. Paper presented at The International Association of Hydrogeologists, Halifax, Nova Scotia, May 1-4, 1988.

Fetter, C.W. 1988. Applied Hydrogeology, 2nd Edition. Merrill Publishing, Columbus, Ohio.

Freeze, R.A., and J.A. Cherry. 1979. Ground Water. Prentice-Hall, Englewood Cliffs, New Jersey.

Fried, J.J., P. Muntzer, and L. Zilliox. 1979. Ground-water pollution by transfer of oil hydrocarbons. Ground Water 17:586-594.

Gardner, W.R. 1958. Some steady state solutions of the unsaturated moisture flow equation with application to evaporation from a water table. Soil Sci. 85:228-232.

Germann, P.F. and K. Beven. 1981. Water flow in soil macropores 1. An experimental approach. J. Soil Sci. 32:1-13.

Glass, R.J., and T.S. Steenhuis. 1984. Factors influencing infiltration flow instability and movement of toxics in layered sandy soil. ASAE Technical Paper 84-2508. ASAE, St. Joseph, Mich.

Gwo, J.P., P.M. Jardine, G.V. Wilson, and G.T. Yeh. 1995. A multi-pore-region concept to modeling mass transfer in subsurface Media. J. Hydrol. 164:217-237.

Gwo, J.P., P.M. Jardine, G.V. Wilson, and G.T. Yeh. 1996. Using a multiregion model to study the effects of advective and diffusive mass transfer on local physical nonequilibrium and solute mobility in a structured soil. Water Resour. Res. 32:561-570.

Hatano, R. and H.W.G. Boolting. 1992. Using fractal dimensions of stained flow patterns in a clay soil to predict bypass flow. J. Hydrol. 135:121-131.

Hofstee, C., J.H. Dane, and W.E. Hill. 1997. Three-fluid retention in porous media involving water, PCE and air. J. Contam. Hydrol. 25:235-247.

Hofstee, C., R.C. Walker, and J.H. Dane. 1998. Infiltration and redistribution of perchloroethylene in stratified water-saturated porous media. Soil Sci. Soc. Am. J. 62:13-22.

Hornberger, G.M., P.F. Germann, and K.J. Beven. 1991. Throughflow and solute transport in an isolated sloping soil block in a forested catchment. J. Hydrol. 124:81-99.

Hunt, J.R., N. Sitar, and K.S. Udell. 1988a. Nonaqueous phase liquid transport and cleanup. 1. Analysis of mechanisms. Water Resour. Res. 24:1247-1258.

Hunt, J.R., N. Sitar, and K.S. Udell. 1988b. Nonaqueous phase liquid transport and cleanup. 2. Experimental studies. Water Resour. Res. 24:1259-1269.

.Jardine, P.M., G.V. Wilson, and R.J. Luxmoore. 1990. Mechanisms of unsaturated solute mobility during storm events. Geoderma 46:103-118.

Jarvis, N.J., P-E Jansson, P.E. Dik, and I. Messing. 1991. Modeling water and solute transport in macroporous soil. I. Model description and sensitivity analysis. J. Soil Sci. 42:59-70.

Jury, W.A., R. Grover, W.F. Spencer, and W.J. Farmer. 1980. Modeling vapor losses of soil-incorporated Triallate. Soil Sci. Soc. Am. J. 44:445-450.

Jury, W.A. and H. Fluhler. 1992. Transport of chemicals through soil: Mechanisms, models, and field applications. In: Advances in Agronomy. D.L. Sparks (ed.), Academic Press, Inc., 47:141-201.

Kanwar, R.S., D.E. Stoltenberg, R. Pfeiffer, D.L. Karlen, T.S. Colvin, and M. Honeyman. 1991. Long-term effects of tillage and crop rotation on the leaching of nitrate and pesticides to shallow groundwater. Irrigation and Drainage. 655-661.

Klute, A.J., 1986. Methods of Soil Analysis, Part 1. Soil Physical and Mineralogical Methods. Agronomy Monograph 9. Am. Soc. Agron. Madison, WI.

Kung, K.-J.S. 1990. Preferential flow in a sandy vadose zone: 1. Field observation. Geoderma 46:51-58.

Kunze, R.J., G. Uehara, and K. Grahman. 1968. Factors important in the calculation of hydraulic conductivity. Soil Sci. Soc. Am. Proc. 32:760-765.

Leij, F.J. and J.H. Dane. 1989a. Evaluation of methods to determine CEC and exchange isotherms for modeling transport. Departmental Series no. 134. Ala. Agric. Exp. Stn., Auburn Univeristy.

Leij, F.J. and J.H. Dane. 1989b. Determination of transport parameters from step and pulse displacement of cations and anions. Departmental Series no. 135. Ala. Agric. Exp. Stn., Auburn University.

Lenhard, R.J. and J.C. Parker. 1987a. A model for hysteretic constitutive relations governing multiphase flow. 1. Saturation-pressure relations. Water Resour. Res. 23:2187-2196.

Lenhard, R.J. and J.C. Parker. 1987b. A model for hysteretic constitutive relations governing multiphase flow. 2. Permeability-saturation relations. Water Resour. Res. 23:2197-2206.

Lenhard R.J. and J.C Parker. 1988. Experimental validation of the theory of extending two-phase saturation-pressure relations to three-fluid phase systems for monotonic drainage paths. Water Resour. Res. 24:373-380.

Lenhard, R.J. 1992. Measurement and modeling of three-phase saturation-pressure hysteresis. J. Contam. Hydrol. 9:243-269.

Luxmoore, R.J. 1981. Micro-, meso-, and macroporosity of soil. Soil Sci. Soc. Am. J. 45:671-672.

Ma, L. and H.M. Selim. 1994. Tortuosity, mean residence time, and deformation of tritium breakthroughs from soil columns. Soil Sci. Soc. Am. J. 58:1076-1085.

Ma, L. and H. M. Selim. 1995. Transport of Nonreactive Solutes in Soils: A Two-Flow Domain Approach. Soil Sci. 159:224-234.

Mackay, D.M., P.V. Roberts, and J.A. Cherry. 1985. Transport of organic contaminants in groundwater. Environmental Science and Technology 19:384-392.

Mercer, J.W., and R.M. Cohen. 1990. A review of immiscible fluids in the subsurface: properties, models, characterization and remediation. J. Contam. Hydrol. 6:107-163.

Mohanty, B.P., R.S. Bowman, J.H.M. Hendrickx, and M.Th. van Genuchten. 1997. New piecewise-continuous hydraulic functions for modeling preferential flow in an intermittent-flood-irrigated field. Water Resour. Res. 33:2049-2063.

Moore, T. 1989. Managing the Gaslight Legacy. EPRI Journal, July/August 1989, pp. 23-31.

Omoti, U. and A. Wild. 1979. Use of fluorescent dyes to mark the pathways of solute movement though soils under leaching conditions, 2. Field experiments. Soil Sci. 128:98-104.

Oostrom M., C. Hofstee, R.J. Lenhard, R.C. Walker, J.H. Dane, and M.D. White. 1997. Physical modeling of multifluid behavior in porous media. In Proceedings of the seventeenth annual American Geophysical Union Hydrology Days (H.J. Morel-Seytoux, ed.). pp. 241-254.

Osborne, M. and J. Sykes. 1986. Numerical modeling of organic transport at the Hyde Park landfill. Water Resour. Res. 22:25-33.

Parker, J.C. and M.Th. van Genuchten. 1984a. Flux-averaged concentrations in continuum approaches to solute transport. Water Resour. Res. 20:866-872.

Parker J.C. and M.Th. van Genuchten. 1984b. Determining transport parameters from laboratory and field tracer experiments. Virginia Agricultural Experiment Station. Virginia Polytechnic Institute and State University. Bulletin 84-3.

Pfankuch, H.O. 1984. Determination of the contaminant source strength from mass exchange processes at the petroleum/ground water interface in shallow aquifer systems. In Proceedings of the NWWA/API Conference on Petroleum Hydrocarbons and Organic Chemicals in Ground Water, National Water Well Association, Dublin, Ohio, pp. 111-129.

Pinder, G.F. and L.M. Abriola. 1986. On the simulation of nonaqueous phase organic compounds in the subsurface. Water Resour. Res. 22:109S-119S.

Puckett, W.E., J.H. Dane, and B.F. Hajek. 1985. Physical and mineralogical data to determine soil hydraulic properties. Soil Sci. Soc. Am. J. 49:831-836.

Radulovich, R., P. Sollins, P. Baveye, and E. Solórzano. 1992. Bypass water flow through unsaturated microaggregated tropical soils. Soil Sci. Soc. Am. J. 56:721-726.

Reedy, O.C., P.M. Jardine, H.M. Selim, and G.V. Wilson. 1996. Quantifying the diffusive mass transfer of non-reactive solutes in undisturbed subsurface columns using flow interruption. Soil Sci. Soc. Am. J. 60:1376-1384.

Rieu, M. and G. Sposito. 1991. Fractal fragmentation, soil porosity and soil water properties. I. Theory. II. Applications. Soil Sci. Soc. Am. J. 55:1231-1238 and 1239-1244.

Romkens, M.J.M., H.M. Selim, R.E. Phillips, and F.D. Whisler. 1985. Physical characteristics of soils in the Southern Region: Vicksburg, Memphis, Maury Series. Southern Cooperative Series Bulletin No. 266.

Romkens, M.J.M., H.M. Selim, H.D. Scott, R.E. Phillips, and F.D. Whisler. 1986. Physical characteristics of soils in the Southern Region: Captina, Gigger, Grenada, Loring, Olivier, and Sharkey Series. Southern Cooperative Series Bulletin No. 264. Mississippi Agric. And Forestry Exp. Sta., Mississippi State University.

Schwille, F. 1984. Migration of organic fluids immiscible with water in the unsaturated zone. In Pollutants in Porous Media, edited by B. Yaron, G. Dagan and J. Goldschmid. Springer-Verlag, New York.

Schwille, F. 1988. Dense Chlorinated Solvents in Porous and Fractured Media. Translated by J.F. Pankow. Lewis Publishers, Chelsea, Michigan.

Selim, H.M., 1992. Modeling the transport and retention of inorganics in soils. Adv. Agron. 47:331-384.

Selim, H.M. and M.C. Amacher. 1997. Reactivity and Transport of Heavy Metals in Soils. CRC, Boca Raton, FL. (240 p).

Seyfried, M.S., and P.S.C. Rao. 1987. Solute transport in undisturbed columns of an aggregated tropical soil: Preferential flow effects. Soil Sci. Soc. Am. J. 51:1434-1444.

Shipitalo, M.J., W.M. Edwards, W.A. Dick, and L.B. Owens. 1990. Initial storm effects on macropore transport of surface-applied chemicals in no-till soil. Soil Sci. Soc. Am. J. 54:1530-1536.

Smettem, K.R.J., D.J. Chittleborough, B.G. Richards, and F.W. Leaney. 1991. The influence of macropores on runoff generation from a hillslope soil with a contrasting textural class. J. Hydrol. 122:235-252.

Thomas, G.W., and R.E. Phillips. 1979. Consequences of water movement in macropores. J. Environ. Qual. 8:149-152.

Tyler, S.W., M.R. Whitbeck, M.W. Kirk, J.W. Hess, L.G. Everett, D.K. Kreamer, and B.H. Wilson. 1987. Processes affecting subsurface transport of leaking underground tank fluids. Environmental Monitoring Systems Laboratory, U.S. Environmental Protection Agency, Las Vegas, Nevada.

van Genuchten, M. Th. 1980. A closed form equation for predicting the hydraulic conductivity of unsaturated soils. Soil Sci. Soc. Am. J. 44:892-898.

van Genuchten, M.Th. and J.C. Parker. 1984. Boundary conditions for displacement experiments through short laboratory columns. Soil Sci. Soc. Am. J. 48:703-708.

van Genuchten, M. Th. and P.J. Wierenga. 1986. Solute dispersion coefficients and retardation factors. p. 1025-1054. In: A. Klute, (ed.) Methods of Soil Analysis. Part I. 2nd ed. Agron. Monogr. 9. ASA and SSSA, Madison, WI.

Villaume, J.F. 1985. Investigations at sites contaminated with dense, non-aqueous phase liquids (NAPLs). Ground Water Monitoring Review, Spring 1985, pp. 60-74.

Wilson, G.V., P.M. Jardine, and J. Gwo. 1992. Measurement and modeling the hydraulic properties of a multiregion soil. Soil Sci. Soc. Am. J. 56:1731-1737.

Wilson, G.V., L. Yunsheng, H.M. Selim, M.E. Essington, and D.D. Tyler. 1998. Tillage and cover crop effects on saturated and unsaturated transport of fluometuron. Soil Sci. Soc. Am. J. 62:46-55.

Zijlstra, J. and J.H. Dane. 1995. Identification of hydraulic parameters in layered soils based on a quasi-Newton method. J. Hydrol. 181:233-250.




Return to Home Page
Home Page SAAESD
Electronic document prepared by:
D.L. Nofziger, Oklahoma State University
Email address: david.nofziger@okstate.edu